Pertanyaan

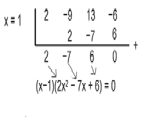
Diketahui x = 1 adalah akar dari persamaan suku banyak 2x 3 − 9x 2 + 13x − 6 = 0. Tentukan akar-akar yang lain dari persamaan di atas!

Diketahui x = 1 adalah akar dari persamaan suku banyak 2x3 − 9x2 + 13x − 6 = 0. Tentukan akar-akar yang lain dari persamaan di atas!

  1. 3 dan 2

  2. 1 half space d a n space 3

  3. 1 half space d a n space 2

  4. 3 over 2 d a n space 2

  5. 3 over 2 d a n space 3

Ikuti Tryout SNBT & Menangkan E-Wallet 100rb

Habis dalam

00

:

12

:

13

:

12

Klaim

R. RGFLSATU

Master Teacher

Jawaban terverifikasi

Pembahasan

2x 3 − 9x 2 + 13x − 6 = 0 2x 2 − 7x + 6 = (2x − 3)(x − 2) 2x − 3 = 0 x − 2 = 0 x = x = 2 Jadi akar-akar yang lain adalah dan 2

2x3 − 9x2 + 13x − 6 = 0

2x2 − 7x + 6 = (2x − 3)(x − 2)
2x − 3 = 0                     x − 2 = 0
        x = 3 over 2                       x = 2
Jadi akar-akar yang lain adalah 3 over 2  dan 2

Perdalam pemahamanmu bersama Master Teacher
di sesi Live Teaching, GRATIS!

2

MAY AMINATUL NATASYA PUTRI

Makasih ❤️

Devi Aprilia Andini

Jawaban tidak sesuai

Pertanyaan serupa

Suku banyak P(x) = x 3 + ax 2 – 13x + 10 mempunyai faktor linear (x – 2). Faktor linear yang lain adalah…

7

5.0

Jawaban terverifikasi

RUANGGURU HQ

Jl. Dr. Saharjo No.161, Manggarai Selatan, Tebet, Kota Jakarta Selatan, Daerah Khusus Ibukota Jakarta 12860

Coba GRATIS Aplikasi Roboguru

Coba GRATIS Aplikasi Ruangguru

Download di Google PlayDownload di AppstoreDownload di App Gallery

Produk Ruangguru

Hubungi Kami

Ruangguru WhatsApp

+62 815-7441-0000

Email info@ruangguru.com

[email protected]

Contact 02130930000

02130930000

Ikuti Kami

©2026 Ruangguru. All Rights Reserved PT. Ruang Raya Indonesia